Last updated: 2021-09-09
Checks: 6 1
Knit directory: ctwas_applied/
This reproducible R Markdown analysis was created with workflowr (version 1.6.2). The Checks tab describes the reproducibility checks that were applied when the results were created. The Past versions tab lists the development history.
The R Markdown file has unstaged changes. To know which version of the R Markdown file created these results, you’ll want to first commit it to the Git repo. If you’re still working on the analysis, you can ignore this warning. When you’re finished, you can run wflow_publish to commit the R Markdown file and build the HTML.
Great job! The global environment was empty. Objects defined in the global environment can affect the analysis in your R Markdown file in unknown ways. For reproduciblity it’s best to always run the code in an empty environment.
The command set.seed(20210726) was run prior to running the code in the R Markdown file. Setting a seed ensures that any results that rely on randomness, e.g. subsampling or permutations, are reproducible.
Great job! Recording the operating system, R version, and package versions is critical for reproducibility.
Nice! There were no cached chunks for this analysis, so you can be confident that you successfully produced the results during this run.
Great job! Using relative paths to the files within your workflowr project makes it easier to run your code on other machines.
Great! You are using Git for version control. Tracking code development and connecting the code version to the results is critical for reproducibility.
The results in this page were generated with repository version 59e5f4d. See the Past versions tab to see a history of the changes made to the R Markdown and HTML files.
Note that you need to be careful to ensure that all relevant files for the analysis have been committed to Git prior to generating the results (you can use wflow_publish or wflow_git_commit). workflowr only checks the R Markdown file, but you know if there are other scripts or data files that it depends on. Below is the status of the Git repository when the results were generated:
Unstaged changes:
Modified: analysis/ukb-d-30500_irnt_Liver.Rmd
Modified: analysis/ukb-d-30600_irnt_Liver.Rmd
Modified: analysis/ukb-d-30610_irnt_Liver.Rmd
Modified: analysis/ukb-d-30620_irnt_Liver.Rmd
Modified: analysis/ukb-d-30630_irnt_Liver.Rmd
Modified: analysis/ukb-d-30640_irnt_Liver.Rmd
Modified: analysis/ukb-d-30650_irnt_Liver.Rmd
Note that any generated files, e.g. HTML, png, CSS, etc., are not included in this status report because it is ok for generated content to have uncommitted changes.
These are the previous versions of the repository in which changes were made to the R Markdown (analysis/ukb-d-30650_irnt_Liver.Rmd) and HTML (docs/ukb-d-30650_irnt_Liver.html) files. If you’ve configured a remote Git repository (see ?wflow_git_remote), click on the hyperlinks in the table below to view the files as they were in that past version.
| File | Version | Author | Date | Message |
|---|---|---|---|---|
| Rmd | cbf7408 | wesleycrouse | 2021-09-08 | adding enrichment to reports |
| html | cbf7408 | wesleycrouse | 2021-09-08 | adding enrichment to reports |
| Rmd | 4970e3e | wesleycrouse | 2021-09-08 | updating reports |
| html | 4970e3e | wesleycrouse | 2021-09-08 | updating reports |
| Rmd | 627a4e1 | wesleycrouse | 2021-09-07 | adding heritability |
| Rmd | dfd2b5f | wesleycrouse | 2021-09-07 | regenerating reports |
| html | dfd2b5f | wesleycrouse | 2021-09-07 | regenerating reports |
| Rmd | 61b53b3 | wesleycrouse | 2021-09-06 | updated PVE calculation |
| html | 61b53b3 | wesleycrouse | 2021-09-06 | updated PVE calculation |
| Rmd | 837dd01 | wesleycrouse | 2021-09-01 | adding additional fixedsigma report |
| Rmd | d0a5417 | wesleycrouse | 2021-08-30 | adding new reports to the index |
| Rmd | 0922de7 | wesleycrouse | 2021-08-18 | updating all reports with locus plots |
| html | 0922de7 | wesleycrouse | 2021-08-18 | updating all reports with locus plots |
| html | 1c62980 | wesleycrouse | 2021-08-11 | Updating reports |
| Rmd | 5981e80 | wesleycrouse | 2021-08-11 | Adding more reports |
| html | 5981e80 | wesleycrouse | 2021-08-11 | Adding more reports |
| Rmd | 05a98b7 | wesleycrouse | 2021-08-07 | adding additional results |
| html | 05a98b7 | wesleycrouse | 2021-08-07 | adding additional results |
| html | 03e541c | wesleycrouse | 2021-07-29 | Cleaning up report generation |
| Rmd | 276893d | wesleycrouse | 2021-07-29 | Updating reports |
| html | 276893d | wesleycrouse | 2021-07-29 | Updating reports |
These are the results of a ctwas analysis of the UK Biobank trait Aspartate aminotransferase (quantile) using Liver gene weights.
The GWAS was conducted by the Neale Lab, and the biomarker traits we analyzed are discussed here. Summary statistics were obtained from IEU OpenGWAS using GWAS ID: ukb-d-30650_irnt. Results were obtained from from IEU rather than Neale Lab because they are in a standardard format (GWAS VCF). Note that 3 of the 34 biomarker traits were not available from IEU and were excluded from analysis.
The weights are mashr GTEx v8 models on Liver eQTL obtained from PredictDB. We performed a full harmonization of the variants, including recovering strand ambiguous variants. This procedure is discussed in a separate document. (TO-DO: add report that describes harmonization)
LD matrices were computed from a 10% subset of Neale lab subjects. Subjects were matched using the plate and well information from genotyping. We included only biallelic variants with MAF>0.01 in the original Neale Lab GWAS. (TO-DO: add more details [number of subjects, variants, etc])
TO-DO: add enhanced QC reporting (total number of weights, why each variant was missing for all genes)
qclist_all <- list()
qc_files <- paste0(results_dir, "/", list.files(results_dir, pattern="exprqc.Rd"))
for (i in 1:length(qc_files)){
load(qc_files[i])
chr <- unlist(strsplit(rev(unlist(strsplit(qc_files[i], "_")))[1], "[.]"))[1]
qclist_all[[chr]] <- cbind(do.call(rbind, lapply(qclist,unlist)), as.numeric(substring(chr,4)))
}
qclist_all <- data.frame(do.call(rbind, qclist_all))
colnames(qclist_all)[ncol(qclist_all)] <- "chr"
rm(qclist, wgtlist, z_gene_chr)
#number of imputed weights
nrow(qclist_all)
[1] 10901
#number of imputed weights by chromosome
table(qclist_all$chr)
1 2 3 4 5 6 7 8 9 10 11 12 13 14 15
1070 768 652 417 494 611 548 408 405 434 634 629 195 365 354
16 17 18 19 20 21 22
526 663 160 859 306 114 289
#proportion of imputed weights without missing variants
mean(qclist_all$nmiss==0)
[1] 0.8366205
#load ctwas results
ctwas_res <- data.table::fread(paste0(results_dir, "/", analysis_id, "_ctwas.susieIrss.txt"))
#make unique identifier for regions
ctwas_res$region_tag <- paste(ctwas_res$region_tag1, ctwas_res$region_tag2, sep="_")
#compute PVE for each gene/SNP
ctwas_res$PVE = ctwas_res$susie_pip*ctwas_res$mu2/sample_size #check PVE calculation
#separate gene and SNP results
ctwas_gene_res <- ctwas_res[ctwas_res$type == "gene", ]
ctwas_gene_res <- data.frame(ctwas_gene_res)
ctwas_snp_res <- ctwas_res[ctwas_res$type == "SNP", ]
ctwas_snp_res <- data.frame(ctwas_snp_res)
#add gene information to results
sqlite <- RSQLite::dbDriver("SQLite")
db = RSQLite::dbConnect(sqlite, paste0("/project2/compbio/predictdb/mashr_models/mashr_", weight, ".db"))
query <- function(...) RSQLite::dbGetQuery(db, ...)
gene_info <- query("select gene, genename from extra")
gene_info <- query("select gene, genename, gene_type from extra")
RSQLite::dbDisconnect(db)
ctwas_gene_res <- cbind(ctwas_gene_res, gene_info[sapply(ctwas_gene_res$id, match, gene_info$gene), c("genename", "gene_type")])
#add z score to results
load(paste0(results_dir, "/", analysis_id, "_expr_z_gene.Rd"))
ctwas_gene_res$z <- z_gene[ctwas_gene_res$id,]$z
#load(paste0(results_dir, "/", analysis_id, "_expr_z_snp.Rd")) #for new version, stored after harmonization
z_snp <- readRDS(paste0(results_dir, "/", trait_id, ".RDS")) #for old version, unharmonized
z_snp <- z_snp[z_snp$id %in% ctwas_snp_res$id,] #subset snps to those included in analysis, note some are duplicated, need to match which allele was used
ctwas_snp_res$z <- z_snp$z[match(ctwas_snp_res$id, z_snp$id)] #for duplicated snps, this arbitrarily uses the first allele
ctwas_snp_res$z_flag <- as.numeric(ctwas_snp_res$id %in% z_snp$id[duplicated(z_snp$id)]) #mark the unclear z scores, flag=1
#formatting and rounding for tables
ctwas_gene_res$z <- round(ctwas_gene_res$z,2)
ctwas_snp_res$z <- round(ctwas_snp_res$z,2)
ctwas_gene_res$susie_pip <- round(ctwas_gene_res$susie_pip,3)
ctwas_snp_res$susie_pip <- round(ctwas_snp_res$susie_pip,3)
ctwas_gene_res$mu2 <- round(ctwas_gene_res$mu2,2)
ctwas_snp_res$mu2 <- round(ctwas_snp_res$mu2,2)
ctwas_gene_res$PVE <- signif(ctwas_gene_res$PVE, 2)
ctwas_snp_res$PVE <- signif(ctwas_snp_res$PVE, 2)
#merge gene and snp results with added information
ctwas_gene_res$z_flag=NA
ctwas_snp_res$genename=NA
ctwas_snp_res$gene_type=NA
ctwas_res <- rbind(ctwas_gene_res,
ctwas_snp_res[,colnames(ctwas_gene_res)])
#store columns to report
report_cols <- colnames(ctwas_gene_res)[!(colnames(ctwas_gene_res) %in% c("type", "region_tag1", "region_tag2", "cs_index", "gene_type", "z_flag", "id", "chrom", "pos"))]
first_cols <- c("genename", "region_tag")
report_cols <- c(first_cols, report_cols[!(report_cols %in% first_cols)])
report_cols_snps <- c("id", report_cols[-1])
#get number of SNPs from s1 results; adjust for thin
ctwas_res_s1 <- data.table::fread(paste0(results_dir, "/", analysis_id, "_ctwas.s1.susieIrss.txt"))
n_snps <- sum(ctwas_res_s1$type=="SNP")/thin
rm(ctwas_res_s1)
library(ggplot2)
library(cowplot)
********************************************************
Note: As of version 1.0.0, cowplot does not change the
default ggplot2 theme anymore. To recover the previous
behavior, execute:
theme_set(theme_cowplot())
********************************************************
load(paste0(results_dir, "/", analysis_id, "_ctwas.s2.susieIrssres.Rd"))
df <- data.frame(niter = rep(1:ncol(group_prior_rec), 2),
value = c(group_prior_rec[1,], group_prior_rec[2,]),
group = rep(c("Gene", "SNP"), each = ncol(group_prior_rec)))
df$group <- as.factor(df$group)
df$value[df$group=="SNP"] <- df$value[df$group=="SNP"]*thin #adjust parameter to account for thin argument
p_pi <- ggplot(df, aes(x=niter, y=value, group=group)) +
geom_line(aes(color=group)) +
geom_point(aes(color=group)) +
xlab("Iteration") + ylab(bquote(pi)) +
ggtitle("Prior mean") +
theme_cowplot()
df <- data.frame(niter = rep(1:ncol(group_prior_var_rec), 2),
value = c(group_prior_var_rec[1,], group_prior_var_rec[2,]),
group = rep(c("Gene", "SNP"), each = ncol(group_prior_var_rec)))
df$group <- as.factor(df$group)
p_sigma2 <- ggplot(df, aes(x=niter, y=value, group=group)) +
geom_line(aes(color=group)) +
geom_point(aes(color=group)) +
xlab("Iteration") + ylab(bquote(sigma^2)) +
ggtitle("Prior variance") +
theme_cowplot()
plot_grid(p_pi, p_sigma2)

| Version | Author | Date |
|---|---|---|
| dfd2b5f | wesleycrouse | 2021-09-07 |
#estimated group prior
estimated_group_prior <- group_prior_rec[,ncol(group_prior_rec)]
names(estimated_group_prior) <- c("gene", "snp")
estimated_group_prior["snp"] <- estimated_group_prior["snp"]*thin #adjust parameter to account for thin argument
print(estimated_group_prior)
gene snp
0.015809377 0.000193017
#estimated group prior variance
estimated_group_prior_var <- group_prior_var_rec[,ncol(group_prior_var_rec)]
names(estimated_group_prior_var) <- c("gene", "snp")
print(estimated_group_prior_var)
gene snp
16.24626 13.27424
#report sample size
print(sample_size)
[1] 342990
#report group size
group_size <- c(nrow(ctwas_gene_res), n_snps)
print(group_size)
[1] 10901 8697330
#estimated group PVE
estimated_group_pve <- estimated_group_prior_var*estimated_group_prior*group_size/sample_size #check PVE calculation
names(estimated_group_pve) <- c("gene", "snp")
print(estimated_group_pve)
gene snp
0.008163062 0.064969496
#compare sum(PIP*mu2/sample_size) with above PVE calculation
c(sum(ctwas_gene_res$PVE),sum(ctwas_snp_res$PVE))
[1] 0.08428546 0.75356417
#distribution of PIPs
hist(ctwas_gene_res$susie_pip, xlim=c(0,1), main="Distribution of Gene PIPs")

| Version | Author | Date |
|---|---|---|
| dfd2b5f | wesleycrouse | 2021-09-07 |
#genes with PIP>0.8 or 20 highest PIPs
head(ctwas_gene_res[order(-ctwas_gene_res$susie_pip),report_cols], max(sum(ctwas_gene_res$susie_pip>0.8), 20))
genename region_tag susie_pip mu2 PVE z
6402 MOV10 1_69 1.000 6348.07 1.9e-02 -3.93
2771 HMGXB3 5_88 1.000 78.58 2.3e-04 -9.30
3684 GOT2 16_31 1.000 85.60 2.5e-04 8.21
9390 GAS6 13_62 0.988 61.24 1.8e-04 -7.85
3212 CCND2 12_4 0.982 25.01 7.2e-05 -4.76
7445 CFL2 14_9 0.980 33.38 9.5e-05 -6.80
2546 LTBR 12_7 0.979 28.51 8.1e-05 5.20
2924 EFHD1 2_136 0.978 75.04 2.1e-04 8.70
4744 BIN1 2_74 0.975 31.02 8.8e-05 -5.50
6121 ZNF827 4_95 0.969 24.22 6.8e-05 -5.48
8803 DLEU1 13_21 0.968 24.75 7.0e-05 4.42
2279 FAM208B 10_6 0.967 23.73 6.7e-05 4.65
11198 RP6-109B7.2 22_20 0.961 23.92 6.7e-05 -4.70
5632 CAND2 3_9 0.959 30.44 8.5e-05 -5.33
8119 TM4SF4 3_92 0.955 27.63 7.7e-05 -5.49
583 ZNF76 6_28 0.953 78.23 2.2e-04 8.05
12467 RP11-219B17.3 15_27 0.949 28.34 7.8e-05 -4.87
7179 LZTFL1 3_32 0.946 124.57 3.4e-04 11.54
5143 SBNO1 12_75 0.921 24.59 6.6e-05 4.88
5121 SUOX 12_35 0.918 54.43 1.5e-04 6.84
11619 ECSCR 5_82 0.916 21.24 5.7e-05 -3.67
11219 ZBED9 6_22 0.914 25.42 6.8e-05 5.69
9345 NDN 15_2 0.908 28.29 7.5e-05 5.11
9988 SF3B3 16_37 0.903 27.26 7.2e-05 5.67
9404 PTTG1IP 21_23 0.899 21.54 5.6e-05 4.32
8057 PTAFR 1_19 0.877 65.16 1.7e-04 8.12
5563 ABCG8 2_27 0.875 22.63 5.8e-05 4.87
4481 KLRC1 12_10 0.874 58.30 1.5e-04 8.11
7524 PSMC3 11_29 0.852 361.19 9.0e-04 -9.78
2660 SLC17A2 6_20 0.850 27.86 6.9e-05 -4.41
10763 NYNRIN 14_3 0.842 21.49 5.3e-05 4.27
12135 S1PR2 19_9 0.838 25.51 6.2e-05 -4.46
9985 LITAF 16_12 0.837 19.20 4.7e-05 -3.67
11988 ZNF865 19_38 0.825 24.17 5.8e-05 -4.58
8089 LRRC45 17_46 0.813 20.39 4.8e-05 4.04
#plot PIP vs effect size
plot(ctwas_gene_res$susie_pip, ctwas_gene_res$mu2, xlab="PIP", ylab="mu^2", main="Gene PIPs vs Effect Size")

| Version | Author | Date |
|---|---|---|
| dfd2b5f | wesleycrouse | 2021-09-07 |
#genes with 20 largest effect sizes
head(ctwas_gene_res[order(-ctwas_gene_res$mu2),report_cols],20)
genename region_tag susie_pip mu2 PVE z
5389 RPS11 19_34 0.791 13813.35 3.2e-02 4.91
1227 FLT3LG 19_34 0.000 11915.81 0.0e+00 -4.10
6402 MOV10 1_69 1.000 6348.07 1.9e-02 -3.93
5393 RCN3 19_34 0.000 4536.79 0.0e+00 -4.75
1931 FCGRT 19_34 0.000 4126.68 0.0e+00 -3.90
113 ST7L 1_69 0.000 2358.82 7.3e-15 -1.33
3804 PRRG2 19_34 0.000 2167.99 0.0e+00 -6.56
3017 CAPZA1 1_69 0.000 1951.89 1.7e-15 -0.74
2463 PANX1 11_53 0.000 1784.31 0.0e+00 11.79
10714 PSMB10 16_36 0.120 1399.47 4.9e-04 -4.26
1739 NUTF2 16_36 0.123 1397.38 5.0e-04 -4.26
3803 PRMT1 19_34 0.000 1387.76 0.0e+00 -3.23
3584 ENKD1 16_36 0.188 1382.74 7.6e-04 4.34
1749 ACD 16_36 0.173 1371.43 6.9e-04 4.35
1751 PARD6A 16_36 0.173 1371.43 6.9e-04 4.35
3805 SCAF1 19_34 0.000 1366.90 0.0e+00 -1.87
3802 IRF3 19_34 0.000 1331.23 0.0e+00 -1.99
5271 RANBP10 16_36 0.001 1260.32 4.1e-06 -3.81
1748 CTCF 16_36 0.003 1180.77 9.2e-06 4.06
9370 C11orf54 11_53 0.000 1041.19 0.0e+00 -1.80
#genes with 20 highest pve
head(ctwas_gene_res[order(-ctwas_gene_res$PVE),report_cols],20)
genename region_tag susie_pip mu2 PVE z
5389 RPS11 19_34 0.791 13813.35 0.03200 4.91
6402 MOV10 1_69 1.000 6348.07 0.01900 -3.93
7524 PSMC3 11_29 0.852 361.19 0.00090 -9.78
3584 ENKD1 16_36 0.188 1382.74 0.00076 4.34
1749 ACD 16_36 0.173 1371.43 0.00069 4.35
1751 PARD6A 16_36 0.173 1371.43 0.00069 4.35
2486 PTPMT1 11_29 0.300 665.02 0.00058 8.26
1739 NUTF2 16_36 0.123 1397.38 0.00050 -4.26
10714 PSMB10 16_36 0.120 1399.47 0.00049 -4.26
7179 LZTFL1 3_32 0.946 124.57 0.00034 11.54
3684 GOT2 16_31 1.000 85.60 0.00025 8.21
2771 HMGXB3 5_88 1.000 78.58 0.00023 -9.30
583 ZNF76 6_28 0.953 78.23 0.00022 8.05
3307 GOT1 10_64 0.500 144.16 0.00021 17.13
11056 RP11-441O15.3 10_64 0.500 144.16 0.00021 -17.13
2924 EFHD1 2_136 0.978 75.04 0.00021 8.70
9390 GAS6 13_62 0.988 61.24 0.00018 -7.85
2004 TGFB1 19_28 0.748 79.78 0.00017 9.03
8057 PTAFR 1_19 0.877 65.16 0.00017 8.12
11684 RP11-136O12.2 8_83 0.634 80.00 0.00015 9.59
#genes with 20 largest z scores
head(ctwas_gene_res[order(-abs(ctwas_gene_res$z)),report_cols],20)
genename region_tag susie_pip mu2 PVE z
10848 CLIC1 6_26 0.001 235.76 6.7e-07 20.97
5928 TMEM236 10_14 0.000 574.61 0.0e+00 -19.14
1320 CWF19L1 10_64 0.010 321.59 9.7e-06 -18.27
11541 C4A 6_26 0.000 155.94 7.1e-08 17.29
3307 GOT1 10_64 0.500 144.16 2.1e-04 17.13
11056 RP11-441O15.3 10_64 0.500 144.16 2.1e-04 -17.13
10602 RNF5 6_26 0.000 113.71 1.6e-08 17.06
10599 NOTCH4 6_26 0.001 169.39 5.9e-07 16.73
4833 FLOT1 6_24 0.009 116.79 3.2e-06 -16.44
10625 MSH5 6_26 0.001 177.73 5.1e-07 16.29
4748 STAM 10_14 0.000 154.35 0.0e+00 -16.07
11007 PPT2 6_26 0.000 96.41 1.3e-08 -15.25
4838 VARS2 6_25 0.000 132.05 3.1e-11 14.98
3308 CPN1 10_64 0.000 205.23 2.6e-11 14.68
11478 HLA-DMB 6_27 0.000 130.59 1.2e-09 -13.78
11366 HLA-DQA2 6_26 0.000 87.37 2.7e-08 -13.47
10603 AGPAT1 6_26 0.001 103.01 3.6e-07 -13.15
10591 HLA-DMA 6_27 0.000 99.79 1.3e-11 -12.92
12683 HCP5B 6_24 0.001 60.18 2.3e-07 -12.54
10601 AGER 6_26 0.000 93.06 1.1e-08 -12.54
#set nominal signifiance threshold for z scores
alpha <- 0.05
#bonferroni adjusted threshold for z scores
sig_thresh <- qnorm(1-(alpha/nrow(ctwas_gene_res)/2), lower=T)
#Q-Q plot for z scores
obs_z <- ctwas_gene_res$z[order(ctwas_gene_res$z)]
exp_z <- qnorm((1:nrow(ctwas_gene_res))/nrow(ctwas_gene_res))
plot(exp_z, obs_z, xlab="Expected z", ylab="Observed z", main="Gene z score Q-Q plot")
abline(a=0,b=1)

| Version | Author | Date |
|---|---|---|
| dfd2b5f | wesleycrouse | 2021-09-07 |
#plot z score vs PIP
plot(abs(ctwas_gene_res$z), ctwas_gene_res$susie_pip, xlab="abs(z)", ylab="PIP")
abline(v=sig_thresh, col="red", lty=2)

| Version | Author | Date |
|---|---|---|
| dfd2b5f | wesleycrouse | 2021-09-07 |
#proportion of significant z scores
mean(abs(ctwas_gene_res$z) > sig_thresh)
[1] 0.02632786
#genes with most significant z scores
head(ctwas_gene_res[order(-abs(ctwas_gene_res$z)),report_cols],20)
genename region_tag susie_pip mu2 PVE z
10848 CLIC1 6_26 0.001 235.76 6.7e-07 20.97
5928 TMEM236 10_14 0.000 574.61 0.0e+00 -19.14
1320 CWF19L1 10_64 0.010 321.59 9.7e-06 -18.27
11541 C4A 6_26 0.000 155.94 7.1e-08 17.29
3307 GOT1 10_64 0.500 144.16 2.1e-04 17.13
11056 RP11-441O15.3 10_64 0.500 144.16 2.1e-04 -17.13
10602 RNF5 6_26 0.000 113.71 1.6e-08 17.06
10599 NOTCH4 6_26 0.001 169.39 5.9e-07 16.73
4833 FLOT1 6_24 0.009 116.79 3.2e-06 -16.44
10625 MSH5 6_26 0.001 177.73 5.1e-07 16.29
4748 STAM 10_14 0.000 154.35 0.0e+00 -16.07
11007 PPT2 6_26 0.000 96.41 1.3e-08 -15.25
4838 VARS2 6_25 0.000 132.05 3.1e-11 14.98
3308 CPN1 10_64 0.000 205.23 2.6e-11 14.68
11478 HLA-DMB 6_27 0.000 130.59 1.2e-09 -13.78
11366 HLA-DQA2 6_26 0.000 87.37 2.7e-08 -13.47
10603 AGPAT1 6_26 0.001 103.01 3.6e-07 -13.15
10591 HLA-DMA 6_27 0.000 99.79 1.3e-11 -12.92
12683 HCP5B 6_24 0.001 60.18 2.3e-07 -12.54
10601 AGER 6_26 0.000 93.06 1.1e-08 -12.54
ctwas_gene_res_sortz <- ctwas_gene_res[order(-abs(ctwas_gene_res$z)),]
n_plots <- 5
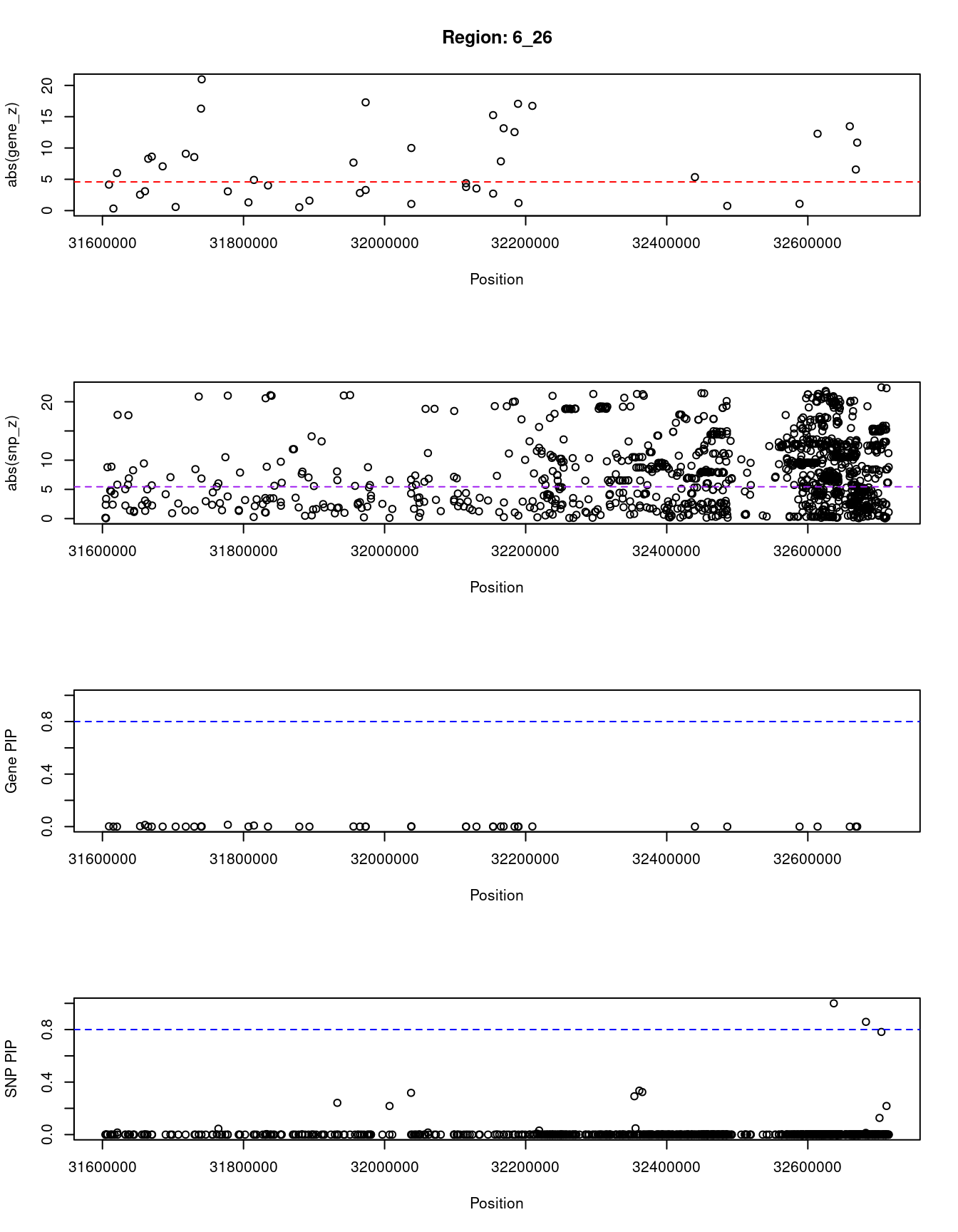
for (region_tag_plot in head(unique(ctwas_gene_res_sortz$region_tag), n_plots)){
ctwas_res_region <- ctwas_res[ctwas_res$region_tag==region_tag_plot,]
start <- min(ctwas_res_region$pos)
end <- max(ctwas_res_region$pos)
ctwas_res_region <- ctwas_res_region[order(ctwas_res_region$pos),]
ctwas_res_region_gene <- ctwas_res_region[ctwas_res_region$type=="gene",]
ctwas_res_region_snp <- ctwas_res_region[ctwas_res_region$type=="SNP",]
#region name
print(paste0("Region: ", region_tag_plot))
#table of genes in region
print(ctwas_res_region_gene[,report_cols])
par(mfrow=c(4,1))
#gene z scores
plot(ctwas_res_region_gene$pos, abs(ctwas_res_region_gene$z), xlab="Position", ylab="abs(gene_z)", xlim=c(start,end),
ylim=c(0,max(sig_thresh, abs(ctwas_res_region_gene$z))),
main=paste0("Region: ", region_tag_plot))
abline(h=sig_thresh,col="red",lty=2)
#significance threshold for SNPs
alpha_snp <- 5*10^(-8)
sig_thresh_snp <- qnorm(1-alpha_snp/2, lower=T)
#snp z scores
plot(ctwas_res_region_snp$pos, abs(ctwas_res_region_snp$z), xlab="Position", ylab="abs(snp_z)",xlim=c(start,end),
ylim=c(0,max(sig_thresh_snp, max(abs(ctwas_res_region_snp$z)))))
abline(h=sig_thresh_snp,col="purple",lty=2)
#gene pips
plot(ctwas_res_region_gene$pos, ctwas_res_region_gene$susie_pip, xlab="Position", ylab="Gene PIP", xlim=c(start,end), ylim=c(0,1))
abline(h=0.8,col="blue",lty=2)
#snp pips
plot(ctwas_res_region_snp$pos, ctwas_res_region_snp$susie_pip, xlab="Position", ylab="SNP PIP", xlim=c(start,end), ylim=c(0,1))
abline(h=0.8,col="blue",lty=2)
}
[1] "Region: 6_26"
genename region_tag susie_pip mu2 PVE z
10632 BAG6 6_26 0.002 46.30 2.9e-07 -4.15
10634 AIF1 6_26 0.000 8.42 1.4e-09 0.33
10633 PRRC2A 6_26 0.000 32.23 5.7e-09 6.01
10631 APOM 6_26 0.003 41.93 3.4e-07 2.54
10630 C6orf47 6_26 0.013 55.01 2.1e-06 3.09
10629 CSNK2B 6_26 0.000 81.71 1.1e-07 8.28
11414 LY6G5B 6_26 0.000 30.48 6.1e-09 -8.62
10628 LY6G5C 6_26 0.000 24.07 6.8e-09 -7.07
10627 ABHD16A 6_26 0.000 16.87 2.0e-09 0.58
10626 MPIG6B 6_26 0.000 88.80 4.1e-08 -9.08
10849 DDAH2 6_26 0.000 87.07 5.9e-08 8.55
10625 MSH5 6_26 0.001 177.73 5.1e-07 16.29
10848 CLIC1 6_26 0.001 235.76 6.7e-07 20.97
10623 VWA7 6_26 0.014 55.24 2.2e-06 -3.07
10622 LSM2 6_26 0.000 13.23 2.6e-09 -1.31
10621 HSPA1L 6_26 0.008 66.60 1.5e-06 4.90
10619 C6orf48 6_26 0.000 15.85 1.9e-09 -4.02
10618 SLC44A4 6_26 0.000 5.74 7.1e-10 0.53
10616 EHMT2 6_26 0.000 10.98 2.0e-09 1.59
10612 SKIV2L 6_26 0.001 72.07 2.8e-07 7.67
10610 STK19 6_26 0.000 18.15 5.3e-09 2.81
10611 DXO 6_26 0.000 32.96 3.9e-09 3.29
11541 C4A 6_26 0.000 155.94 7.1e-08 17.29
11216 CYP21A2 6_26 0.000 15.47 2.2e-09 1.06
11038 C4B 6_26 0.002 128.98 7.4e-07 -10.00
10844 ATF6B 6_26 0.000 30.22 8.9e-09 4.37
7949 TNXB 6_26 0.000 34.01 8.3e-09 -3.77
10606 FKBPL 6_26 0.000 33.59 9.3e-09 -3.53
11007 PPT2 6_26 0.000 96.41 1.3e-08 -15.25
10605 PRRT1 6_26 0.000 34.90 2.3e-08 2.71
11441 EGFL8 6_26 0.001 70.47 1.3e-07 -7.87
10603 AGPAT1 6_26 0.001 103.01 3.6e-07 -13.15
10601 AGER 6_26 0.000 93.06 1.1e-08 -12.54
10602 RNF5 6_26 0.000 113.71 1.6e-08 17.06
10600 PBX2 6_26 0.000 23.35 2.9e-09 -1.21
10599 NOTCH4 6_26 0.001 169.39 5.9e-07 16.73
10597 HLA-DRA 6_26 0.000 67.70 1.2e-08 -5.35
10402 HLA-DRB5 6_26 0.000 49.02 5.9e-09 0.75
10023 HLA-DRB1 6_26 0.000 50.42 6.2e-09 1.08
10137 HLA-DQA1 6_26 0.000 86.90 2.3e-08 12.28
11366 HLA-DQA2 6_26 0.000 87.37 2.7e-08 -13.47
9089 HLA-DQB1 6_26 0.000 59.48 1.5e-08 6.56
11231 HLA-DQB2 6_26 0.000 65.25 2.1e-08 -10.86

| Version | Author | Date |
|---|---|---|
| dfd2b5f | wesleycrouse | 2021-09-07 |
[1] "Region: 10_14"
genename region_tag susie_pip mu2 PVE z
7537 C1QL3 10_14 0 5.15 0 0.00
5929 RSU1 10_14 0 16.11 0 -2.04
2238 TRDMT1 10_14 0 99.52 0 4.71
7539 HACD1 10_14 0 166.23 0 -9.40
4748 STAM 10_14 0 154.35 0 -16.07
5928 TMEM236 10_14 0 574.61 0 -19.14
5927 SLC39A12 10_14 0 86.03 0 12.06
7538 CACNB2 10_14 0 7.93 0 -2.25

| Version | Author | Date |
|---|---|---|
| dfd2b5f | wesleycrouse | 2021-09-07 |
[1] "Region: 10_64"
genename region_tag susie_pip mu2 PVE z
3299 CNNM1 10_64 0.000 63.84 7.4e-12 9.64
3307 GOT1 10_64 0.500 144.16 2.1e-04 17.13
11056 RP11-441O15.3 10_64 0.500 144.16 2.1e-04 -17.13
11947 RP11-85A1.3 10_64 0.000 15.53 1.1e-12 4.24
10330 ENTPD7 10_64 0.000 11.01 1.2e-12 -1.88
3296 CUTC 10_64 0.000 12.23 1.6e-12 -1.37
228 COX15 10_64 0.000 15.11 2.1e-12 -0.54
281 ABCC2 10_64 0.001 197.72 6.3e-07 10.42
2234 DNMBP 10_64 0.000 42.17 3.0e-12 -5.47
3308 CPN1 10_64 0.000 205.23 2.6e-11 14.68
2237 ERLIN1 10_64 0.000 96.03 2.3e-09 -7.73
10819 CHUK 10_64 0.000 78.13 9.9e-10 -6.59
1320 CWF19L1 10_64 0.010 321.59 9.7e-06 -18.27
10014 BLOC1S2 10_64 0.000 94.97 3.3e-09 -7.88
11326 OLMALINC 10_64 0.000 12.00 2.1e-12 -0.84
12405 RP11-285F16.1 10_64 0.000 21.52 7.2e-12 -2.04
7557 NDUFB8 10_64 0.000 23.39 1.2e-11 -2.05
3291 SLF2 10_64 0.000 27.00 1.6e-11 2.16
1321 SEMA4G 10_64 0.000 11.70 1.3e-12 -1.81
2256 LZTS2 10_64 0.000 20.44 6.8e-12 1.68
9772 PDZD7 10_64 0.000 4.77 3.1e-13 0.25
2254 TLX1 10_64 0.000 19.78 4.9e-12 -2.08

| Version | Author | Date |
|---|---|---|
| dfd2b5f | wesleycrouse | 2021-09-07 |
[1] "Region: 6_24"
genename region_tag susie_pip mu2 PVE z
10667 HLA-G 6_24 0.001 6.35 2.5e-08 -0.13
12683 HCP5B 6_24 0.001 60.18 2.3e-07 -12.54
10774 HLA-A 6_24 0.002 13.18 6.6e-08 -1.05
624 ZNRD1 6_24 0.001 10.42 4.2e-08 2.78
10664 RNF39 6_24 0.085 23.54 5.8e-06 -3.34
10663 TRIM31 6_24 0.001 68.88 2.7e-07 12.31
10661 TRIM10 6_24 0.005 7.91 1.1e-07 3.74
11273 TRIM26 6_24 0.016 16.23 7.4e-07 4.34
10657 TRIM39 6_24 0.002 8.84 3.9e-08 3.43
10651 ABCF1 6_24 0.001 14.65 5.8e-08 -5.11
10649 MRPS18B 6_24 0.001 5.21 2.1e-08 0.17
10648 C6orf136 6_24 0.002 11.57 5.1e-08 2.80
10647 DHX16 6_24 0.008 18.62 4.4e-07 1.33
5766 PPP1R18 6_24 0.002 17.17 7.8e-08 -5.27
4836 NRM 6_24 0.025 36.73 2.7e-06 5.64
4833 FLOT1 6_24 0.009 116.79 3.2e-06 -16.44
11136 HCG20 6_24 0.003 12.05 1.1e-07 1.74

| Version | Author | Date |
|---|---|---|
| dfd2b5f | wesleycrouse | 2021-09-07 |
[1] "Region: 6_25"
genename region_tag susie_pip mu2 PVE z
10653 DDR1 6_25 0 18.15 2.8e-12 1.17
4838 VARS2 6_25 0 132.05 3.1e-11 14.98
10854 GTF2H4 6_25 0 16.44 3.5e-11 0.55
10044 SFTA2 6_25 0 65.47 1.9e-11 -9.91
10646 PSORS1C1 6_25 0 28.97 4.0e-12 3.80
10645 PSORS1C2 6_25 0 19.74 4.3e-12 -3.87
11297 HLA-B 6_25 0 8.47 1.4e-12 -3.22
4832 TCF19 6_25 0 24.34 3.0e-12 8.45
10644 CCHCR1 6_25 0 24.34 3.0e-12 8.45
10643 POU5F1 6_25 0 69.39 9.5e-12 -11.22
10771 HCG27 6_25 0 40.89 8.2e-12 1.52
10642 HLA-C 6_25 0 61.58 9.7e-12 -8.31
12306 XXbac-BPG181B23.7 6_25 0 26.84 3.2e-11 -4.53
10640 MICA 6_25 0 16.49 2.2e-12 2.77
10639 MICB 6_25 0 84.84 3.5e-09 -10.48
10417 DDX39B 6_25 0 10.75 1.2e-12 3.70
10637 NFKBIL1 6_25 0 57.36 2.5e-10 -4.89
10852 ATP6V1G2 6_25 0 26.74 5.3e-11 1.44
11110 LTA 6_25 0 35.63 2.0e-11 -5.80
11237 TNF 6_25 0 20.75 1.0e-11 2.29
10635 NCR3 6_25 0 14.29 5.4e-12 -0.02

| Version | Author | Date |
|---|---|---|
| dfd2b5f | wesleycrouse | 2021-09-07 |
#snps with PIP>0.8 or 20 highest PIPs
head(ctwas_snp_res[order(-ctwas_snp_res$susie_pip),report_cols_snps],
max(sum(ctwas_snp_res$susie_pip>0.8), 20))
id region_tag susie_pip mu2 PVE z
2918 rs113228967 1_6 1.000 50.27 1.5e-04 -6.51
4789 rs4336844 1_11 1.000 155.09 4.5e-04 12.99
35323 rs1771599 1_79 1.000 80.64 2.4e-04 9.94
35332 rs61804205 1_79 1.000 130.96 3.8e-04 15.58
48710 rs4951163 1_104 1.000 80.49 2.3e-04 7.21
62341 rs12239046 1_131 1.000 33.95 9.9e-05 -5.82
72067 rs780093 2_16 1.000 76.33 2.2e-04 -8.18
151848 rs35327008 3_39 1.000 55.41 1.6e-04 -7.18
185703 rs149368105 3_105 1.000 56.81 1.7e-04 -9.86
185724 rs234043 3_106 1.000 42.17 1.2e-04 -6.53
228655 rs35518360 4_67 1.000 152.60 4.4e-04 13.08
228721 rs13140033 4_68 1.000 74.59 2.2e-04 8.87
271197 rs2859493 5_26 1.000 141.30 4.1e-04 10.33
318573 rs1322599 6_13 1.000 39.72 1.2e-04 -6.38
325693 rs9272364 6_26 1.000 349.03 1.0e-03 20.71
326150 rs9276192 6_27 1.000 305.20 8.9e-04 -19.53
326343 rs2244458 6_27 1.000 92.55 2.7e-04 1.51
426195 rs758184196 8_11 1.000 526.21 1.5e-03 -4.11
432824 rs2293400 8_23 1.000 65.69 1.9e-04 7.54
467777 rs307738 8_92 1.000 96.79 2.8e-04 1.32
467778 rs56114972 8_92 1.000 142.19 4.1e-04 6.32
492016 rs113609637 9_47 1.000 56.83 1.7e-04 -7.84
494162 rs1226592 9_50 1.000 68.10 2.0e-04 8.37
504326 rs115478735 9_70 1.000 235.96 6.9e-04 -16.44
511864 rs16917138 10_15 1.000 50.03 1.5e-04 7.23
511868 rs79666207 10_15 1.000 48.65 1.4e-04 7.13
518573 rs71007692 10_28 1.000 1242.38 3.6e-03 -1.99
527635 rs9645500 10_46 1.000 94.89 2.8e-04 9.62
530511 rs5786398 10_51 1.000 42.45 1.2e-04 -5.40
536917 rs112255710 10_63 1.000 39.58 1.2e-04 -7.34
541313 rs17875416 10_71 1.000 39.05 1.1e-04 -6.24
556748 rs7481951 11_15 1.000 129.15 3.8e-04 12.24
583088 rs2307599 11_67 1.000 56.61 1.7e-04 -1.37
587084 rs4937122 11_77 1.000 48.06 1.4e-04 -6.92
606475 rs7397189 12_36 1.000 119.46 3.5e-04 11.38
610516 rs2137537 12_44 1.000 102.91 3.0e-04 -10.77
631006 rs504366 13_3 1.000 43.62 1.3e-04 -6.70
669940 rs72681869 14_20 1.000 76.18 2.2e-04 -11.71
669988 rs142004400 14_20 1.000 67.33 2.0e-04 -11.39
682956 rs1243165 14_48 1.000 44.26 1.3e-04 3.48
697873 rs2070895 15_26 1.000 49.89 1.5e-04 -7.15
721781 rs17257349 16_29 1.000 71.36 2.1e-04 9.26
727745 rs11645522 16_45 1.000 44.03 1.3e-04 6.11
749325 rs1801689 17_38 1.000 81.55 2.4e-04 9.38
785784 rs3794991 19_15 1.000 155.65 4.5e-04 13.27
844881 rs35130213 1_19 1.000 1076.13 3.1e-03 3.30
844883 rs2236854 1_19 1.000 1070.19 3.1e-03 3.13
861480 rs333947 1_69 1.000 213.29 6.2e-04 -14.64
870266 rs200856259 1_69 1.000 6290.14 1.8e-02 4.22
964696 rs369705328 10_14 1.000 829.44 2.4e-03 45.85
964701 rs56278466 10_14 1.000 3166.52 9.2e-03 60.07
964702 rs35160301 10_14 1.000 796.97 2.3e-03 -17.04
964895 rs508196 10_14 1.000 478.37 1.4e-03 -36.18
969077 rs3072639 11_29 1.000 3960.66 1.2e-02 3.11
981128 rs148050219 11_53 1.000 31055.66 9.1e-02 -12.67
981138 rs111443113 11_53 1.000 31025.44 9.0e-02 -0.39
1016337 rs9604045 13_62 1.000 53.29 1.6e-04 7.28
1087460 rs56090907 16_36 1.000 2027.51 5.9e-03 1.70
1126218 rs113176985 19_34 1.000 13790.80 4.0e-02 -4.88
1126221 rs374141296 19_34 1.000 13896.37 4.1e-02 -4.72
1131954 rs12975366 19_37 1.000 127.60 3.7e-04 -12.07
147756 rs2649750 3_28 0.999 32.83 9.6e-05 -5.78
180626 rs9817452 3_97 0.999 32.41 9.4e-05 5.50
271215 rs76142317 5_26 0.999 35.40 1.0e-04 4.22
401555 rs740047 7_56 0.999 33.17 9.7e-05 5.03
550899 rs10838525 11_4 0.999 36.02 1.0e-04 -5.16
569136 rs75592015 11_37 0.999 32.31 9.4e-05 -5.66
595805 rs66720652 12_15 0.999 33.72 9.8e-05 -5.72
749650 rs56213591 17_39 0.999 35.25 1.0e-04 5.81
835363 rs11090617 22_19 0.999 754.75 2.2e-03 28.80
271208 rs34209642 5_26 0.997 38.22 1.1e-04 2.40
271243 rs2962478 5_26 0.997 36.75 1.1e-04 5.86
295748 rs112801206 5_74 0.997 29.11 8.5e-05 5.22
298698 rs6894249 5_79 0.997 47.52 1.4e-04 -5.98
427448 rs11250151 8_15 0.997 73.90 2.1e-04 -9.51
537316 rs139450722 10_64 0.997 49.78 1.4e-04 -2.32
626255 rs12425627 12_76 0.997 31.25 9.1e-05 -5.67
793873 rs12978750 19_33 0.997 55.56 1.6e-04 7.95
203153 rs2970862 4_20 0.996 31.63 9.2e-05 6.07
322521 rs1233385 6_23 0.996 118.70 3.4e-04 -14.33
536997 rs76744182 10_64 0.996 44.83 1.3e-04 -6.86
965017 rs41277356 10_14 0.996 213.00 6.2e-04 -15.74
780784 rs576338566 19_4 0.995 29.91 8.7e-05 -5.44
976089 rs2511241 11_41 0.995 33.68 9.8e-05 -6.18
564918 rs77897592 11_30 0.994 27.18 7.9e-05 4.42
735016 rs12601581 17_7 0.994 41.52 1.2e-04 -6.19
322979 rs425052 6_24 0.993 41.05 1.2e-04 8.29
487492 rs34084620 9_38 0.993 27.84 8.1e-05 5.09
1000564 rs6581124 12_35 0.993 37.63 1.1e-04 5.73
25164 rs79900185 1_56 0.991 44.40 1.3e-04 6.25
223880 rs77094191 4_59 0.989 55.94 1.6e-04 -5.02
185611 rs17461279 3_105 0.988 29.49 8.5e-05 -5.36
425959 rs7833103 8_11 0.988 242.72 7.0e-04 10.85
753400 rs4969183 17_44 0.987 77.28 2.2e-04 9.26
721778 rs190752012 16_29 0.986 29.94 8.6e-05 6.36
482332 rs1137642 9_25 0.985 138.13 4.0e-04 -11.65
591366 rs7976853 12_3 0.985 35.33 1.0e-04 5.78
913911 rs4835265 4_95 0.985 141.14 4.1e-04 12.80
782257 rs10401485 19_7 0.980 31.21 8.9e-05 5.36
74097 rs71409634 2_21 0.978 27.61 7.9e-05 5.09
357529 rs212776 6_88 0.978 28.27 8.1e-05 5.31
586788 rs11220136 11_77 0.978 60.62 1.7e-04 8.41
511869 rs7089228 10_15 0.976 47.51 1.4e-04 -7.75
779685 rs351988 19_2 0.976 31.49 9.0e-05 5.50
179129 rs7610095 3_94 0.975 34.87 9.9e-05 -6.40
682952 rs941594 14_48 0.975 48.45 1.4e-04 4.34
300305 rs769204262 5_84 0.974 27.10 7.7e-05 5.11
482740 rs6476453 9_26 0.974 26.83 7.6e-05 -4.89
79141 rs4952901 2_30 0.973 30.46 8.6e-05 5.28
323411 rs3130374 6_24 0.972 119.02 3.4e-04 -16.61
537039 rs4423123 10_64 0.970 187.26 5.3e-04 18.49
732002 rs539705186 16_53 0.970 28.57 8.1e-05 5.88
426934 rs11777976 8_13 0.969 71.91 2.0e-04 -9.65
661052 rs1760940 14_1 0.969 55.46 1.6e-04 7.72
15885 rs7556224 1_37 0.967 25.53 7.2e-05 4.55
77745 rs72800939 2_28 0.967 25.36 7.1e-05 4.81
835374 rs9626057 22_19 0.967 301.46 8.5e-04 15.73
753365 rs12449451 17_44 0.966 26.82 7.6e-05 5.57
118681 rs17576323 2_112 0.964 33.59 9.4e-05 -6.02
208858 rs12639940 4_32 0.960 23.84 6.7e-05 -4.14
317577 rs2841572 6_12 0.959 97.30 2.7e-04 10.45
671443 rs6572976 14_24 0.959 62.06 1.7e-04 -8.09
431750 rs11986461 8_21 0.958 31.13 8.7e-05 -5.69
576712 rs74717621 11_54 0.957 24.81 6.9e-05 4.72
151802 rs559993437 3_39 0.949 25.68 7.1e-05 -4.50
771436 rs12373325 18_31 0.948 117.16 3.2e-04 -12.23
576528 rs144988974 11_52 0.947 24.67 6.8e-05 4.62
185001 rs61436251 3_104 0.944 27.24 7.5e-05 -3.27
727744 rs13334801 16_45 0.944 27.83 7.7e-05 4.30
427473 rs1809356 8_15 0.943 28.06 7.7e-05 5.74
77666 rs62140177 2_26 0.942 29.59 8.1e-05 -5.36
830644 rs11704551 22_10 0.939 70.17 1.9e-04 -9.17
171840 rs9870956 3_77 0.938 26.01 7.1e-05 4.87
677265 rs2363514 14_36 0.936 27.97 7.6e-05 -5.17
149836 rs11917269 3_35 0.934 28.09 7.6e-05 -5.32
735062 rs307627 17_7 0.933 28.84 7.8e-05 -5.11
324490 rs2853999 6_25 0.931 208.65 5.7e-04 -20.00
809142 rs1412956 20_29 0.931 27.09 7.4e-05 5.13
833028 rs132642 22_14 0.930 73.66 2.0e-04 8.89
536919 rs117780022 10_63 0.929 25.18 6.8e-05 4.28
79160 rs56030357 2_31 0.926 53.65 1.4e-04 7.52
115996 rs12464787 2_108 0.922 79.94 2.1e-04 9.23
271239 rs13183079 5_26 0.919 122.58 3.3e-04 9.38
352573 rs78485454 6_77 0.917 26.26 7.0e-05 -3.13
511908 rs7070430 10_15 0.914 31.39 8.4e-05 -3.99
321823 rs62392365 6_19 0.913 37.83 1.0e-04 -6.58
623136 rs141105880 12_67 0.912 35.36 9.4e-05 -6.95
1030132 rs2239222 14_34 0.912 35.89 9.5e-05 -5.85
326300 rs1871664 6_27 0.911 68.11 1.8e-04 -8.00
503229 rs199755552 9_67 0.910 24.52 6.5e-05 -4.69
537289 rs17882431 10_64 0.907 330.56 8.7e-04 -18.75
692689 rs17659152 15_15 0.906 23.32 6.2e-05 4.31
605772 rs10876377 12_33 0.904 36.39 9.6e-05 5.98
771063 rs2849421 18_30 0.900 147.73 3.9e-04 -12.71
321931 rs72838866 6_19 0.891 29.45 7.7e-05 5.77
732066 rs2291160 16_53 0.891 47.56 1.2e-04 -7.54
35333 rs10917685 1_79 0.890 101.91 2.6e-04 -12.02
773119 rs71162605 18_35 0.890 26.99 7.0e-05 4.53
326967 rs4713999 6_29 0.888 25.94 6.7e-05 4.64
732842 rs558760274 17_1 0.888 23.43 6.1e-05 -4.37
773117 rs73963711 18_35 0.887 30.68 7.9e-05 -5.25
604118 rs12313103 12_29 0.885 26.16 6.8e-05 4.75
42154 rs2500119 1_91 0.883 141.56 3.6e-04 12.46
782033 rs339399 19_7 0.883 31.50 8.1e-05 5.35
411695 rs77506340 7_78 0.880 27.12 7.0e-05 5.34
610031 rs317687 12_42 0.879 34.97 9.0e-05 -5.69
587767 rs71480000 11_80 0.878 24.15 6.2e-05 -4.43
290021 rs163895 5_63 0.872 24.20 6.2e-05 -4.18
195235 rs36205397 4_4 0.864 27.60 7.0e-05 5.63
143169 rs734866 3_18 0.863 25.93 6.5e-05 -4.80
373253 rs10279376 7_9 0.863 49.86 1.3e-04 -7.15
829468 rs133902 22_7 0.862 26.02 6.5e-05 4.71
323651 rs915665 6_24 0.860 27.27 6.8e-05 5.33
332096 rs941968 6_39 0.860 25.36 6.4e-05 4.73
96306 rs4849369 2_66 0.859 29.69 7.4e-05 -5.28
325952 rs117317274 6_26 0.859 101.62 2.5e-04 8.47
790850 rs2251125 19_24 0.859 25.51 6.4e-05 -4.53
739774 rs191842317 17_17 0.857 24.70 6.2e-05 -4.49
785492 rs11880916 19_15 0.856 26.60 6.6e-05 5.04
352603 rs7758190 6_77 0.854 25.13 6.3e-05 -3.91
502674 rs13302576 9_66 0.852 25.14 6.2e-05 -4.68
254319 rs3814419 4_118 0.846 31.89 7.9e-05 6.05
710426 rs11641275 16_2 0.843 25.02 6.1e-05 4.63
70331 rs1042034 2_13 0.841 25.18 6.2e-05 4.63
625978 rs571529125 12_74 0.840 49.06 1.2e-04 8.15
103052 rs10928493 2_79 0.838 24.89 6.1e-05 4.90
692490 rs511338 15_14 0.834 29.07 7.1e-05 5.29
329246 rs2025704 6_34 0.832 29.82 7.2e-05 -5.55
837775 rs12484572 22_24 0.829 24.95 6.0e-05 4.65
482761 rs3808868 9_27 0.828 25.70 6.2e-05 4.81
633649 rs1756957 13_7 0.828 37.32 9.0e-05 -6.17
692485 rs11070250 15_13 0.826 59.71 1.4e-04 -9.17
459461 rs146373428 8_78 0.825 25.20 6.1e-05 -4.40
585734 rs10892865 11_74 0.823 30.00 7.2e-05 -6.03
127277 rs149146451 2_129 0.816 25.18 6.0e-05 4.31
790114 rs33824 19_23 0.808 46.40 1.1e-04 -8.54
704922 rs72754570 15_41 0.805 44.74 1.0e-04 -6.65
753328 rs9915814 17_43 0.805 27.53 6.5e-05 4.70
582939 rs55697087 11_67 0.803 27.23 6.4e-05 -4.50
#plot PIP vs effect size
plot(ctwas_snp_res$susie_pip, ctwas_snp_res$mu2, xlab="PIP", ylab="mu^2", main="SNP PIPs vs Effect Size")

| Version | Author | Date |
|---|---|---|
| dfd2b5f | wesleycrouse | 2021-09-07 |
#SNPs with 50 largest effect sizes
head(ctwas_snp_res[order(-ctwas_snp_res$mu2),report_cols_snps],50)
id region_tag susie_pip mu2 PVE z
981128 rs148050219 11_53 1.000 31055.66 9.1e-02 -12.67
981138 rs111443113 11_53 1.000 31025.44 9.0e-02 -0.39
981137 rs60550219 11_53 0.131 31013.92 1.2e-02 -12.67
981124 rs7105405 11_53 0.222 31006.87 2.0e-02 -12.70
981162 rs67167563 11_53 0.054 31001.93 4.9e-03 -12.66
981169 rs113426210 11_53 0.029 30988.06 2.6e-03 -12.67
981120 rs9888156 11_53 0.000 30960.49 4.2e-05 -12.66
981175 rs950878 11_53 0.013 30951.82 1.2e-03 -12.69
981118 rs67232024 11_53 0.000 30906.45 3.1e-08 -12.62
981097 rs7927828 11_53 0.000 30905.42 1.7e-08 -12.61
981115 rs9888266 11_53 0.000 30864.86 1.6e-08 -12.65
981103 rs67812366 11_53 0.000 30864.76 2.0e-08 -12.65
981106 rs7109132 11_53 0.000 30864.46 1.3e-08 -12.65
981098 rs57856352 11_53 0.000 30854.49 1.1e-09 -12.62
981119 rs16919533 11_53 0.000 30848.56 4.2e-10 -12.64
981117 rs67549397 11_53 0.000 30803.29 3.8e-14 -12.54
981116 rs9888143 11_53 0.000 30755.62 3.3e-15 -12.56
981108 rs60546087 11_53 0.000 30752.43 3.5e-15 -12.56
981107 rs60351354 11_53 0.000 30752.40 3.4e-15 -12.56
981112 rs1573567 11_53 0.000 30752.17 2.3e-15 -12.56
981109 rs7109819 11_53 0.000 30752.14 2.3e-15 -12.56
981075 rs7932290 11_53 0.000 30616.09 2.0e-12 -12.79
981043 rs7934467 11_53 0.000 30366.00 0.0e+00 -12.59
981438 rs72966603 11_53 0.000 25584.48 0.0e+00 -13.54
981568 rs12419615 11_53 0.000 24217.18 0.0e+00 -13.58
981619 rs58964858 11_53 0.000 20700.11 0.0e+00 -13.18
981621 rs72968738 11_53 0.000 20659.05 0.0e+00 -13.11
981645 rs138626734 11_53 0.000 20400.36 0.0e+00 -13.07
981631 rs72968745 11_53 0.000 20396.05 0.0e+00 -13.14
981630 rs4491178 11_53 0.000 20394.83 0.0e+00 -13.14
981663 rs4408267 11_53 0.000 20390.80 0.0e+00 -13.07
981691 rs11604580 11_53 0.000 20371.28 0.0e+00 -13.13
981696 rs4342991 11_53 0.000 20368.99 0.0e+00 -13.13
981262 rs72962880 11_53 0.000 20345.12 0.0e+00 -10.63
981549 rs7945841 11_53 0.000 20333.35 0.0e+00 -12.54
981635 rs4753124 11_53 0.000 20315.87 0.0e+00 -13.08
981668 rs16919942 11_53 0.000 20301.79 0.0e+00 -13.10
981251 rs55659547 11_53 0.000 20284.11 0.0e+00 -10.57
981250 rs7950356 11_53 0.000 20280.91 0.0e+00 -10.57
981261 rs56359140 11_53 0.000 20259.67 0.0e+00 -10.56
981254 rs72962872 11_53 0.000 20257.25 0.0e+00 -10.56
981256 rs140989262 11_53 0.000 19992.27 0.0e+00 -10.53
981587 rs7119800 11_53 0.000 19920.41 0.0e+00 -12.41
981276 rs72962891 11_53 0.000 19825.62 0.0e+00 -10.41
981295 rs72964604 11_53 0.000 19789.04 0.0e+00 -10.51
981591 rs2176565 11_53 0.000 19664.80 0.0e+00 -12.54
981592 rs7949551 11_53 0.000 19077.21 0.0e+00 -12.79
981058 rs1506657 11_53 0.000 18800.30 0.0e+00 10.56
981595 rs72968710 11_53 0.000 18625.94 0.0e+00 -12.72
981598 rs16919917 11_53 0.000 18486.49 0.0e+00 -12.85
#SNPs with 50 highest pve
head(ctwas_snp_res[order(-ctwas_snp_res$PVE),report_cols_snps],50)
id region_tag susie_pip mu2 PVE z
981128 rs148050219 11_53 1.000 31055.66 0.09100 -12.67
981138 rs111443113 11_53 1.000 31025.44 0.09000 -0.39
1126221 rs374141296 19_34 1.000 13896.37 0.04100 -4.72
1126218 rs113176985 19_34 1.000 13790.80 0.04000 -4.88
981124 rs7105405 11_53 0.222 31006.87 0.02000 -12.70
870266 rs200856259 1_69 1.000 6290.14 0.01800 4.22
969077 rs3072639 11_29 1.000 3960.66 0.01200 3.11
981137 rs60550219 11_53 0.131 31013.92 0.01200 -12.67
964701 rs56278466 10_14 1.000 3166.52 0.00920 60.07
1126209 rs61371437 19_34 0.202 13751.17 0.00810 -4.73
1087460 rs56090907 16_36 1.000 2027.51 0.00590 1.70
981162 rs67167563 11_53 0.054 31001.93 0.00490 -12.66
518573 rs71007692 10_28 1.000 1242.38 0.00360 -1.99
844881 rs35130213 1_19 1.000 1076.13 0.00310 3.30
844883 rs2236854 1_19 1.000 1070.19 0.00310 3.13
981169 rs113426210 11_53 0.029 30988.06 0.00260 -12.67
964696 rs369705328 10_14 1.000 829.44 0.00240 45.85
964702 rs35160301 10_14 1.000 796.97 0.00230 -17.04
835363 rs11090617 22_19 0.999 754.75 0.00220 28.80
518570 rs9299760 10_28 0.525 1215.95 0.00190 -2.01
1087415 rs12934423 16_36 0.283 2005.06 0.00170 2.78
518579 rs2472183 10_28 0.447 1216.42 0.00160 -1.99
844892 rs2234918 1_19 0.537 1047.45 0.00160 3.60
426195 rs758184196 8_11 1.000 526.21 0.00150 -4.11
518572 rs2474565 10_28 0.406 1216.32 0.00140 -1.98
518582 rs11011452 10_28 0.382 1216.39 0.00140 -1.97
844887 rs34563832 1_19 0.462 1051.08 0.00140 3.62
964895 rs508196 10_14 1.000 478.37 0.00140 -36.18
981175 rs950878 11_53 0.013 30951.82 0.00120 -12.69
969083 rs11039670 11_29 0.097 3999.66 0.00110 3.16
969115 rs7124318 11_29 0.094 3999.60 0.00110 3.16
325693 rs9272364 6_26 1.000 349.03 0.00100 20.71
969079 rs7949513 11_29 0.083 3999.29 0.00097 3.16
1087473 rs35189054 16_36 0.157 2005.72 0.00092 2.72
326150 rs9276192 6_27 1.000 305.20 0.00089 -19.53
426211 rs13265731 8_11 0.535 561.77 0.00088 8.51
537289 rs17882431 10_64 0.907 330.56 0.00087 -18.75
969106 rs11039675 11_29 0.075 3999.50 0.00087 3.16
969092 rs11039671 11_29 0.074 3999.50 0.00086 3.16
969118 rs9651621 11_29 0.074 3999.50 0.00086 3.16
835374 rs9626057 22_19 0.967 301.46 0.00085 15.73
969098 rs4436573 11_29 0.072 3999.48 0.00084 3.16
426207 rs6993494 8_11 0.465 561.28 0.00076 8.49
969104 rs10838872 11_29 0.061 3998.95 0.00071 3.16
425959 rs7833103 8_11 0.988 242.72 0.00070 10.85
504326 rs115478735 9_70 1.000 235.96 0.00069 -16.44
1087432 rs34530665 16_36 0.118 2005.36 0.00069 2.71
1087489 rs8060896 16_36 0.118 1999.91 0.00069 2.73
1087392 rs8061122 16_36 0.111 1998.31 0.00065 2.77
861480 rs333947 1_69 1.000 213.29 0.00062 -14.64
#SNPs with 50 largest z scores
head(ctwas_snp_res[order(-abs(ctwas_snp_res$z)),report_cols_snps],50)
id region_tag susie_pip mu2 PVE z
964701 rs56278466 10_14 1.000 3166.52 9.2e-03 60.07
964704 rs12359178 10_14 0.000 1209.77 7.2e-17 48.44
964699 rs181242111 10_14 0.000 916.21 0.0e+00 46.92
964696 rs369705328 10_14 1.000 829.44 2.4e-03 45.85
964895 rs508196 10_14 1.000 478.37 1.4e-03 -36.18
964896 rs692097 10_14 0.000 502.75 2.1e-13 -35.89
964900 rs556165 10_14 0.000 486.17 5.5e-15 -35.57
964904 rs2437260 10_14 0.000 481.87 3.4e-15 -35.44
964905 rs2497827 10_14 0.000 481.65 3.2e-15 -35.44
964910 rs2497828 10_14 0.000 479.82 2.1e-15 -35.40
964911 rs2497829 10_14 0.000 479.17 1.8e-15 -35.40
964914 rs2497831 10_14 0.000 478.42 1.5e-15 -35.38
964917 rs943329 10_14 0.000 473.35 4.8e-16 -35.37
964916 rs2478569 10_14 0.000 476.18 8.3e-16 -35.34
964695 rs2477669 10_14 0.000 1181.80 0.0e+00 -35.25
964923 rs1926739 10_14 0.000 470.88 2.1e-16 -35.25
964899 rs692594 10_14 0.000 465.16 1.3e-16 -35.23
964935 rs2497832 10_14 0.000 466.00 5.5e-17 -35.23
964936 rs2497833 10_14 0.000 464.30 3.5e-17 -35.19
964929 rs11407350 10_14 0.000 459.57 2.3e-17 -35.14
964902 rs553304 10_14 0.000 457.37 1.3e-17 -35.11
964697 rs200265081 10_14 0.000 408.97 0.0e+00 34.04
964758 rs72782600 10_14 0.000 742.52 0.0e+00 33.41
964757 rs17657502 10_14 0.000 738.45 0.0e+00 33.32
964839 rs72784717 10_14 0.000 646.63 0.0e+00 32.60
964698 rs118160793 10_14 0.000 375.88 0.0e+00 32.25
964703 rs587772656 10_14 0.000 851.35 0.0e+00 29.85
964955 rs2148598 10_14 0.000 360.95 0.0e+00 -29.27
964961 rs2497839 10_14 0.000 347.10 0.0e+00 -28.99
964958 rs2437271 10_14 0.000 346.52 0.0e+00 -28.97
964964 rs2497840 10_14 0.000 345.44 0.0e+00 -28.95
835363 rs11090617 22_19 0.999 754.75 2.2e-03 28.80
964970 rs1926738 10_14 0.000 341.08 0.0e+00 -28.79
835366 rs1977081 22_19 0.022 745.75 4.9e-05 28.52
835369 rs2072905 22_19 0.018 724.77 3.8e-05 28.11
835370 rs2401512 22_19 0.018 724.85 3.8e-05 28.11
835371 rs4823176 22_19 0.018 724.75 3.8e-05 28.11
835372 rs4823178 22_19 0.018 724.78 3.8e-05 28.11
835373 rs13056555 22_19 0.018 725.04 3.9e-05 28.11
835368 rs1883348 22_19 0.014 712.68 2.9e-05 27.88
964940 rs2437263 10_14 0.000 293.58 0.0e+00 -27.71
964941 rs2437264 10_14 0.000 290.72 0.0e+00 -27.65
964919 rs2437261 10_14 0.000 288.25 0.0e+00 -27.62
964938 rs2497834 10_14 0.000 277.35 0.0e+00 -27.50
964939 rs2497835 10_14 0.000 282.00 0.0e+00 -27.42
964906 rs943331 10_14 0.000 293.77 0.0e+00 -27.38
964912 rs2497830 10_14 0.000 292.61 0.0e+00 -27.35
964760 rs560358 10_14 0.000 434.31 0.0e+00 -27.02
964772 rs691728 10_14 0.000 434.08 0.0e+00 -27.02
964756 rs483809 10_14 0.000 424.62 0.0e+00 -26.89
#GO enrichment analysis
library(enrichR)
Welcome to enrichR
Checking connection ...
Enrichr ... Connection is Live!
FlyEnrichr ... Connection is available!
WormEnrichr ... Connection is available!
YeastEnrichr ... Connection is available!
FishEnrichr ... Connection is available!
dbs <- c("GO_Biological_Process_2021", "GO_Cellular_Component_2021", "GO_Molecular_Function_2021")
genes <- ctwas_gene_res$genename[ctwas_gene_res$susie_pip>0.8]
#number of genes for gene set enrichment
length(genes)
[1] 35
if (length(genes)>0){
GO_enrichment <- enrichr(genes, dbs)
for (db in dbs){
print(db)
df <- GO_enrichment[[db]]
df <- df[df$Adjusted.P.value<0.05,c("Term", "Overlap", "Adjusted.P.value", "Genes")]
print(df)
}
#DisGeNET enrichment
# devtools::install_bitbucket("ibi_group/disgenet2r")
library(disgenet2r)
disgenet_api_key <- get_disgenet_api_key(
email = "wesleycrouse@gmail.com",
password = "uchicago1" )
Sys.setenv(DISGENET_API_KEY= disgenet_api_key)
res_enrich <-disease_enrichment(entities=genes, vocabulary = "HGNC",
database = "CURATED" )
df <- res_enrich@qresult[1:10, c("Description", "FDR", "Ratio", "BgRatio")]
print(df)
#WebGestalt enrichment
library(WebGestaltR)
background <- ctwas_gene_res$genename
#listGeneSet()
databases <- c("pathway_KEGG", "disease_GLAD4U", "disease_OMIM")
enrichResult <- WebGestaltR(enrichMethod="ORA", organism="hsapiens",
interestGene=genes, referenceGene=background,
enrichDatabase=databases, interestGeneType="genesymbol",
referenceGeneType="genesymbol", isOutput=F)
print(enrichResult[,c("description", "size", "overlap", "FDR", "database", "userId")])
}
Uploading data to Enrichr... Done.
Querying GO_Biological_Process_2021... Done.
Querying GO_Cellular_Component_2021... Done.
Querying GO_Molecular_Function_2021... Done.
Parsing results... Done.
[1] "GO_Biological_Process_2021"
[1] Term Overlap Adjusted.P.value Genes
<0 rows> (or 0-length row.names)
[1] "GO_Cellular_Component_2021"
[1] Term Overlap Adjusted.P.value Genes
<0 rows> (or 0-length row.names)
[1] "GO_Molecular_Function_2021"
[1] Term Overlap Adjusted.P.value Genes
<0 rows> (or 0-length row.names)
ZNF827 gene(s) from the input list not found in DisGeNET CURATEDRP11-219B17.3 gene(s) from the input list not found in DisGeNET CURATEDHMGXB3 gene(s) from the input list not found in DisGeNET CURATEDSF3B3 gene(s) from the input list not found in DisGeNET CURATEDZNF865 gene(s) from the input list not found in DisGeNET CURATEDPTTG1IP gene(s) from the input list not found in DisGeNET CURATEDZNF76 gene(s) from the input list not found in DisGeNET CURATEDFAM208B gene(s) from the input list not found in DisGeNET CURATEDECSCR gene(s) from the input list not found in DisGeNET CURATEDZBED9 gene(s) from the input list not found in DisGeNET CURATEDLRRC45 gene(s) from the input list not found in DisGeNET CURATEDKLRC1 gene(s) from the input list not found in DisGeNET CURATEDDLEU1 gene(s) from the input list not found in DisGeNET CURATEDNYNRIN gene(s) from the input list not found in DisGeNET CURATEDMOV10 gene(s) from the input list not found in DisGeNET CURATEDRP6-109B7.2 gene(s) from the input list not found in DisGeNET CURATED
Description
75 Sulfite oxidase deficiency
77 Charcot-Marie-Tooth disease, Type 1C
110 DEAFNESS, AUTOSOMAL RECESSIVE 68
111 Increased serum lactate
113 Nemaline Myopathy 7
119 GALLBLADDER DISEASE 4
123 Sulfocysteinuria
131 BARDET-BIEDL SYNDROME 17
134 MEGALENCEPHALY-POLYMICROGYRIA-POLYDACTYLY-HYDROCEPHALUS SYNDROME 3
47 Salivary Gland Neoplasms
FDR Ratio BgRatio
75 0.03046336 1/19 1/9703
77 0.03046336 1/19 1/9703
110 0.03046336 1/19 1/9703
111 0.03046336 1/19 1/9703
113 0.03046336 1/19 1/9703
119 0.03046336 1/19 1/9703
123 0.03046336 1/19 1/9703
131 0.03046336 1/19 1/9703
134 0.03046336 1/19 1/9703
47 0.03913085 2/19 47/9703
******************************************
* *
* Welcome to WebGestaltR ! *
* *
******************************************
Loading the functional categories...
Loading the ID list...
Loading the reference list...
Performing the enrichment analysis...
Warning in oraEnrichment(interestGeneList, referenceGeneList, geneSet,
minNum = minNum, : No significant gene set is identified based on FDR 0.05!
NULL
sessionInfo()
R version 3.6.1 (2019-07-05)
Platform: x86_64-pc-linux-gnu (64-bit)
Running under: Scientific Linux 7.4 (Nitrogen)
Matrix products: default
BLAS/LAPACK: /software/openblas-0.2.19-el7-x86_64/lib/libopenblas_haswellp-r0.2.19.so
locale:
[1] LC_CTYPE=en_US.UTF-8 LC_NUMERIC=C
[3] LC_TIME=en_US.UTF-8 LC_COLLATE=en_US.UTF-8
[5] LC_MONETARY=en_US.UTF-8 LC_MESSAGES=en_US.UTF-8
[7] LC_PAPER=en_US.UTF-8 LC_NAME=C
[9] LC_ADDRESS=C LC_TELEPHONE=C
[11] LC_MEASUREMENT=en_US.UTF-8 LC_IDENTIFICATION=C
attached base packages:
[1] stats graphics grDevices utils datasets methods base
other attached packages:
[1] WebGestaltR_0.4.4 disgenet2r_0.99.2 enrichR_3.0 cowplot_1.0.0
[5] ggplot2_3.3.3
loaded via a namespace (and not attached):
[1] bitops_1.0-6 matrixStats_0.57.0
[3] fs_1.3.1 bit64_4.0.5
[5] doParallel_1.0.16 progress_1.2.2
[7] httr_1.4.1 rprojroot_2.0.2
[9] GenomeInfoDb_1.20.0 doRNG_1.8.2
[11] tools_3.6.1 utf8_1.2.1
[13] R6_2.5.0 DBI_1.1.1
[15] BiocGenerics_0.30.0 colorspace_1.4-1
[17] withr_2.4.1 tidyselect_1.1.0
[19] prettyunits_1.0.2 bit_4.0.4
[21] curl_3.3 compiler_3.6.1
[23] git2r_0.26.1 Biobase_2.44.0
[25] DelayedArray_0.10.0 rtracklayer_1.44.0
[27] labeling_0.3 scales_1.1.0
[29] readr_1.4.0 apcluster_1.4.8
[31] stringr_1.4.0 digest_0.6.20
[33] Rsamtools_2.0.0 svglite_1.2.2
[35] rmarkdown_1.13 XVector_0.24.0
[37] pkgconfig_2.0.3 htmltools_0.3.6
[39] fastmap_1.1.0 BSgenome_1.52.0
[41] rlang_0.4.11 RSQLite_2.2.7
[43] generics_0.0.2 farver_2.1.0
[45] jsonlite_1.6 BiocParallel_1.18.0
[47] dplyr_1.0.7 VariantAnnotation_1.30.1
[49] RCurl_1.98-1.1 magrittr_2.0.1
[51] GenomeInfoDbData_1.2.1 Matrix_1.2-18
[53] Rcpp_1.0.6 munsell_0.5.0
[55] S4Vectors_0.22.1 fansi_0.5.0
[57] gdtools_0.1.9 lifecycle_1.0.0
[59] stringi_1.4.3 whisker_0.3-2
[61] yaml_2.2.0 SummarizedExperiment_1.14.1
[63] zlibbioc_1.30.0 plyr_1.8.4
[65] grid_3.6.1 blob_1.2.1
[67] parallel_3.6.1 promises_1.0.1
[69] crayon_1.4.1 lattice_0.20-38
[71] Biostrings_2.52.0 GenomicFeatures_1.36.3
[73] hms_1.1.0 knitr_1.23
[75] pillar_1.6.1 igraph_1.2.4.1
[77] GenomicRanges_1.36.0 rjson_0.2.20
[79] rngtools_1.5 codetools_0.2-16
[81] reshape2_1.4.3 biomaRt_2.40.1
[83] stats4_3.6.1 XML_3.98-1.20
[85] glue_1.4.2 evaluate_0.14
[87] data.table_1.14.0 foreach_1.5.1
[89] vctrs_0.3.8 httpuv_1.5.1
[91] gtable_0.3.0 purrr_0.3.4
[93] assertthat_0.2.1 cachem_1.0.5
[95] xfun_0.8 later_0.8.0
[97] tibble_3.1.2 iterators_1.0.13
[99] GenomicAlignments_1.20.1 AnnotationDbi_1.46.0
[101] memoise_2.0.0 IRanges_2.18.1
[103] workflowr_1.6.2 ellipsis_0.3.2